First Round 2000 This file is in graphics interchange format (GIF)
This file is in graphics interchange format (GIF)


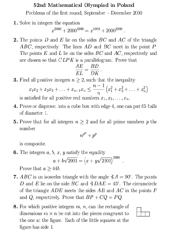
Back to the olympiad page